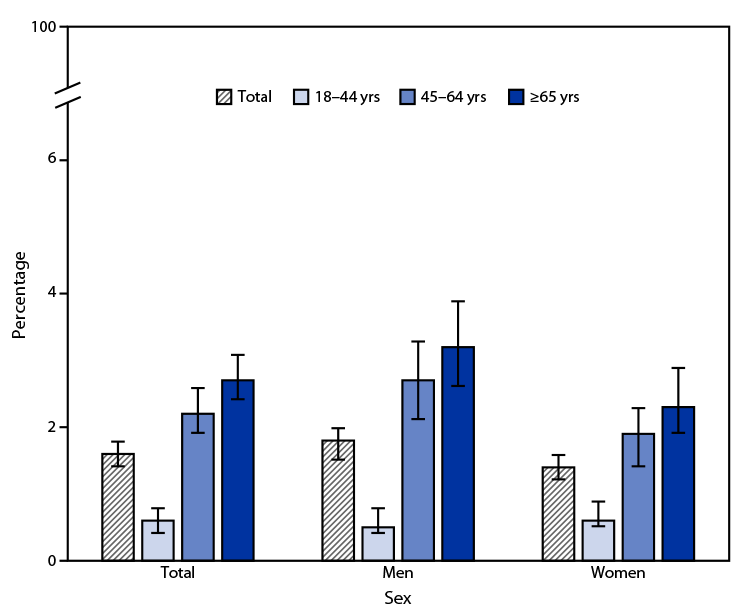
QuickStats: Percentage* of Adults Aged ≥18 Years Who Have Ever Had Hepatitis,? by Age Group and Sex — National Health Interview Survey,§ United States, 2021
Weekly / January 13, 2023 / 72(2);44

* With 95% CIs indicated by error bars.
† Based on an affirmative response to the survey question, “Have you ever been told by a doctor or other health professional that you had hepatitis?” All types and causes of hepatitis could be reported by the respondent.
§ Estimates are based on household interviews of a sample of the civilian, noninstitutionalized U.S. population.
In 2021, 1.6% of adults aged ≥18 years reported having ever had hepatitis. The prevalence of hepatitis was lowest among adults aged 18–44 years (0.6%) and highest among adults aged ≥65 years (2.7%). Prevalence increased with age for both men and women. The percentage of adults who ever had hepatitis was higher in men than women aged 45–64 years (2.7% versus 1.9%) and ≥65 years (3.2% versus 2.3%) but was similar in adults aged 18–44 years (0.5% versus 0.6%).
Source: National Center for Health Statistics, National Health Interview Survey, 2021. http://www.cy118119.com/nchs/nhis.htm
Reported by: Julie D. Weeks, PhD, jweeks@cdc.gov, 301-458-4562; Nazik Elgaddal, MS.
Suggested citation for this article: QuickStats: Percentage of Adults Aged ≥18 Years Who Have Ever Had Hepatitis, by Age Group and Sex — National Health Interview Survey, United States, 2021. MMWR Morb Mortal Wkly Rep 2023;72:44. DOI: http://dx.doi.org/10.15585/mmwr.mm7202a6.
MMWR and Morbidity and Mortality Weekly Report are service marks of the U.S. Department of Health and Human Services.
Use of trade names and commercial sources is for identification only and does not imply endorsement by the U.S. Department of
Health and Human Services.
References to non-CDC sites on the Internet are
provided as a service to MMWR readers and do not constitute or imply
endorsement of these organizations or their programs by CDC or the U.S.
Department of Health and Human Services. CDC is not responsible for the content
of pages found at these sites. URL addresses listed in MMWR were current as of
the date of publication.
All HTML versions of MMWR articles are generated from final proofs through an automated process. This conversion might result in character translation or format errors in the HTML version. Users are referred to the electronic PDF version (http://www.cy118119.com/mmwr) and/or the original MMWR paper copy for printable versions of official text, figures, and tables.
Questions or messages regarding errors in formatting should be addressed to mmwrq@cdc.gov.