Modifiable Risk Factors for Alzheimer Disease and Related Dementias Among Adults Aged ≥45 Years — United States, 2019

John D. Omura, MD1; Lisa C. McGuire, PhD1; Roshni Patel, MPH2; Matthew Baumgart3; Raza Lamb3; Eva M. Jeffers, MPH1,4; Benjamin S. Olivari, MPH1; Janet B. Croft, PhD1; Craig W. Thomas, PhD1; Karen Hacker, MD1 (View author affiliations)

View suggested citation

Summary

What is already known about this topic?

The 2021 National Plan to Address Alzheimer’s Disease (National Plan) included a goal to reduce the risk for Alzheimer disease and related dementias (ADRD).

What is added by this report?

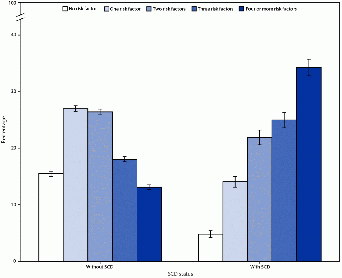
Adults aged ≥45 years with subjective cognitive decline (SCD) were more likely to report four or more risk factors compared with those without SCD (34.3% versus 13.1%). Prevalence of SCD increased from 3.9% among adults with no risk factors to 25.0% among those with four or more risk factors.

What are the implications for public health practice?

Implementing evidence-based strategies that address modifiable risk factors can help achieve the National Plan’s goal to reduce risk for ADRD while promoting healthy aging.

Article Metrics
Altmetric:
Citations:
Views:

Views equals page views plus PDF downloads

Related Materials

Alzheimer disease,* the most common cause of dementia, affects an estimated 6.5 million persons aged ≥65 years in the United States (1). A growing body of evidence has identified potential modifiable risk factors for Alzheimer disease and related dementias (ADRD) (13). In 2021, the National Plan to Address Alzheimer’s Disease (National Plan) introduced a new goal to “accelerate action to promote healthy aging and reduce risk factors for Alzheimer’s disease and related dementias” to help delay onset or slow the progression of ADRD (3). To assess the status of eight potential modifiable risk factors (i.e., high blood pressure, not meeting the aerobic physical activity guideline, obesity, diabetes, depression, current cigarette smoking, hearing loss, and binge drinking), investigators analyzed data from the cognitive decline module that was administered to adults aged ≥45 years in 31 states and the District of Columbia (DC) in the 2019 Behavioral Risk Factor Surveillance System (BRFSS) survey. Among the risk factors, prevalence was highest for high blood pressure (49.9%) and lowest for binge drinking (10.3%) and varied by selected demographic characteristics. Adults with subjective cognitive decline (SCD),§ an early indicator of possible future ADRD (4), were more likely to report four or more risk factors than were those without SCD (34.3% versus 13.1%). Prevalence of SCD was 11.3% overall and increased from 3.9% among adults with no risk factors to 25.0% among those with four or more risk factors. Implementing evidence-based strategies to address modifiable risk factors can help achieve the National Plan’s new goal to reduce risk for ADRD while promoting health aging.,**

BRFSS is a cross-sectional, random-digit–dialed, annual telephone survey of noninstitutionalized U.S. adults aged ≥18 years. BRFSS is administered by state and territorial health departments, and responses are weighted to produce data representative of each state. The 2019 combined (landline and mobile) median response rate was 49.4%.†† In 2019, the cognitive decline module was administered to adults aged ≥45 years in 31 states and DC.

Eight modifiable risk factors were assessed: high blood pressure, not meeting the aerobic physical activity guideline, obesity, diabetes, depression, current cigarette smoking, hearing loss, and binge drinking.§§ The total number of risk factors per respondent was defined as the sum of any risk factors reported and was grouped into no, one, two, three, or four or more risk factors. Respondents were classified as experiencing SCD if they responded “yes” when asked if they had experienced worsening or more frequent confusion or memory loss in the previous 12 months. Data were collected from 161,941 respondents; 21,865 (13.5%) respondents who refused to respond to the question assessing SCD or who responded, “don’t know/not sure,” were excluded. Respondents with missing data for risk factors (ranging from 0.2% for diabetes to 8.8% for obesity) were excluded from corresponding prevalence estimate calculations.

Prevalence of each modifiable risk factor was estimated overall and by SCD status and selected demographic characteristics. The proportion of respondents with no, one, two, three, or four or more risk factors was determined by SCD status. Prevalence of SCD was determined among respondents with and without each risk factor and by number of risk factors. All percentages were weighted and unadjusted. Analyses were conducted using SAS-callable SUDAAN (version 9.4; SAS Institute) to account for complex survey design and weighting. T-tests were used to determine statistically significant differences by subgroup (p<0.05). All estimates met reliability standards by having a relative SE <30%. This activity was reviewed by CDC and was conducted consistent with applicable federal law and CDC policy.¶¶

In 2019, the prevalence of SCD among adults aged ≥45 years in 31 participating states and DC was 11.3% (Table 1). The most common modifiable risk factor for ADRD was high blood pressure (49.9%), followed by not meeting the aerobic physical activity guideline (49.7%), obesity (35.3%), diabetes (18.6%), depression (18.0%), current cigarette smoking (14.9%), hearing loss (10.5%), and binge drinking (10.3%). The prevalences of risk factors varied by selected demographic characteristics, including race and ethnicity. For example, the prevalence of several risk factors was higher among adults who were American Indian or Alaska Native, non-Hispanic Black or African American, or Hispanic, than among non-Hispanic White adults. Adults with SCD were more likely to report most of the modifiable risk factors and were more likely to report four or more risk factors (34.3%) than were those without SCD (13.1%) (Figure).

Adults with each modifiable risk factor, except for binge drinking, were more likely to report SCD than were those without the risk factor (Table 2). Prevalence of SCD ranged from a high of 28.5% among persons with depression and 24.7% among those with hearing loss to 11.3% among those who reported binge drinking. SCD prevalence increased from 3.9% among those with no risk factors to 25.0% among those with four or more risk factors.

Discussion

In 2019, among adults aged ≥45 years in 31 participating states and DC, the most common potentially modifiable risk factors for ADRD were high blood pressure and not meeting the aerobic physical activity guideline; each was found in nearly one half of adults. Disparities in the prevalence of risk factors were observed by selected demographic characteristics, including race and ethnicity. Adults with SCD were more likely to report having modifiable risk factors (except binge drinking) and were more likely to report a higher number of risk factors than were those without SCD. Prevalence of SCD was highest among persons with depression, with hearing loss, and with four or more risk factors.

Consistent with previous reports (1,3), these findings indicate the prevalence of several modifiable risk factors was higher among American Indian or Alaska Native, Black or African American, and Hispanic populations than among other races and ethnicities. These findings are consistent with known understandings of chronic disease disparities which are influenced by differences in the social determinants of health.*** In combination with known racial and ethnic differences in the prevalence of ADRD, these findings help identify opportunities to improve health equity through prioritizing and tailoring public health strategies for those at highest risk (1,46). For example, CDC’s National Healthy Brain Initiative††† supports culturally tailored interventions that address ADRD risk factors specifically for American Indian or Alaska Native, Black or African American, or Hispanic populations (7).

This analysis focused on SCD, an early indicator of possible future ADRD (4) and observed that adults with SCD were more likely to report almost all assessed risk factors, as well as a larger number of risk factors, than were those without SCD. The possible mechanisms of protection from dementia in relation to addressing modifiable risk factors are complex (2); however, early detection of SCD and associated risk factors might facilitate early intervention to slow the progression of ADRD and its symptoms. The earlier dementia is diagnosed, the sooner care can be provided, including building a care team, participating in support services and counseling, addressing other chronic conditions, and better managing medications (8). Future research might also seek to understand the relationship between an increasing number of risk factors and related risk for ADRD and evaluate multicomponent strategies or interventions that simultaneously address multiple risk factors.

The findings in this report are subject to at least six limitations. First, causality between risk factors and SCD cannot be inferred from a cross-sectional study, and not everyone who reports SCD will develop ADRD (9). Second, self-reported data might be subject to several biases, including recall and social desirability. Third, the low response rates could have resulted in response bias. Fourth, respondents with missing risk factor data were not excluded when calculating the total number of risk factors reported; however, findings were similar in a sensitivity analysis conducted excluding any missing values. Fifth, because data are from 31 states and DC, the findings of this report might not be nationally generalizable. Finally, although this analysis examined common modifiable risk factors for ADRD with available data in the 2019 BRFSS, they are only a subset of suggested risk factors. Major strengths of this study include the large sample size and ability to examine many risk factors and SCD.

Important milestones have been achieved in advancing a public health approach to address risk factors for ADRD in the United States. In 2021, the National Plan was updated to include a new goal to reduce risk factors for ADRD (3). Given the prevalence of modifiable risk factors for ADRD and anticipated growth of the older adult population and those with ADRD (1,5,10), this new goal has the potential to benefit a large proportion of U.S. adults. The findings in this report highlight opportunities to accelerate action, particularly among specific populations at high risk. Many evidence-based activities that support healthy aging and prevention and control of various chronic conditions, such as managing hypertension and promoting physical activity, can also serve as potential strategies to achieve this goal. For example, in addition to helping patients discuss concerns about memory loss, health care professionals should also screen patients for modifiable risk factors, counsel patients with risk factors, and refer them to effective programs and interventions where recommended. Public health professionals can implement policy, systems, and environmental strategies to address modifiable risk factors at the population level. Additional resources are available from the Building Our Largest Dementia Infrastructure Public Health Center of Excellence on Dementia Risk Reduction.§§§

Corresponding author: John D. Omura, ydk8@cdc.gov.


1National Center for Chronic Disease Prevention and Health Promotion, CDC; 2CyberData Technologies, Inc., Herndon, Virginia; 3Alzheimer’s Association, Chicago, Illinois; 4Oak Ridge Institute for Science and Education, Oak Ridge, Tennessee.

All authors have completed and submitted the International Committee of Medical Journal Editors form for disclosure of potential conflicts of interest. Karen Hacker reports a royalty or license with Sage Publishing. No other potential conflicts of interest were disclosed.


* Although the term “Alzheimer’s disease” is frequently used, this report uses “Alzheimer disease” in accordance with the American Medical Association Manual of Style 11th Edition and MMWR style.

The following U.S. jurisdictions administered the SCD module in 2019: Alabama, Connecticut, District of Columbia, Florida, Georgia, Indiana, Iowa, Kansas, Louisiana, Maryland, Michigan, Minnesota, Mississippi, Missouri, Nebraska, Nevada, New Mexico, New York, North Dakota, Ohio, Oklahoma, Oregon, Pennsylvania, Rhode Island, South Carolina, South Dakota, Tennessee, Texas, Utah, Virginia, West Virginia, and Wisconsin.

§ SCD was defined as the self-reported experience of worsening confusion or memory loss in the previous year.

https://www.uspreventiveservicestaskforce.org/uspstf/external icon

** https://www.thecommunityguide.orgexternal icon

†† http://www.cy118119.com/brfss/annual_data/2019/pdf/2019-response-rates-table-508.pdfpdf icon

§§ BRFSS survey questions and calculated variables for 2019 are available at http://www.cy118119.com/brfss/questionnaires/pdf-ques/2019-BRFSS-Questionnaire-508.pdfpdf icon and http://www.cy118119.com/brfss/annual_data/2019/pdf/2019-calculated-variables-version4-508.pdfpdf icon, respectively. Not meeting the aerobic physical activity guideline was defined as answering “no” to question C11.01 or reporting <150 minutes per week of moderate-intensity aerobic activity, or <75 minutes per week of vigorous-intensity aerobic activity, or an equivalent combination of the two based on questions C11.02–C11.07 consistent with the Physical Activity Guidelines for Americans, 2nd edition (https://health.gov/our-work/nutrition-physical-activity/physical-activity-guidelines/current-guidelinesexternal icon). Obesity was defined as having a calculated body mass index of ≥30 kg/m2 based on self-reported height and weight from questions C08.17 and C08.18. High blood pressure, diabetes, depression, and hearing loss were defined as answering “yes” to questions C04.01 (excluding pregnancy-related high blood pressure), C06.11 (excluding pregnancy-related diabetes), C06.09, and C08.20, respectively. Binge drinking was defined as reporting having had one or more alcoholic beverages in the previous 30 days and responding “one or more” when asked how many times during the past 30 days they had had X [X = 5 for men and X = 4 for women] or more drinks on an occasion (questions C10.01 and C10.03, respectively). Current cigarette smoking was defined as reporting having smoked ≥100 cigarettes in their lifetime and now smoking every day or some days in response to questions C09.01 and C09.02, respectively.

¶¶ 45 C.F.R. part 46.102(l)(2), 21 C.F.R. part 56; 42 U.S.C. Sect. 241(d); 5 U.S.C. Sect. 552a; 44 U.S.C. Sect. 3501 et seq.

*** http://www.cy118119.com/chronicdisease/programs-impact/sdoh.htm

††† http://www.cy118119.com/aging/funding/hbi/index.html

§§§ https://www.alz.org/professionals/public-health/public-health-approach/alz-association-effortsexternal icon

References

  1. Alzheimer’s Association. 2022 Alzheimer’s disease facts and figures. Alzheimers Dement 2022;18:700–89. https://doi.org/10.1002/alz.12638external icon PMID:35289055external icon
  2. Livingston G, Huntley J, Sommerlad A, et al. Dementia prevention, intervention, and care: 2020 report of the Lancet Commission. Lancet 2020;396:413–46. https://doi.org/10.1016/S0140-6736(20)30367-6external icon PMID:32738937external icon
  3. US Department of Health and Human Services. National Plan to Address Alzheimer’s Disease: 2021 update. Washington, DC: US Department of Health and Human Services; 2021. https://aspe.hhs.gov/reports/national-plan-2021-updateexternal icon
  4. Taylor CA, Bouldin ED, McGuire LC. Subjective cognitive decline among adults aged ≥45 years—United States, 2015–2016. MMWR Morb Mortal Wkly Rep 2018;67:753–7. https://doi.org/10.15585/mmwr.mm6727a1external icon PMID:30001562external icon
  5. Matthews KA, Xu W, Gaglioti AH, et al. Racial and ethnic estimates of Alzheimer’s disease and related dementias in the United States (2015–2060) in adults aged ≥65 years. Alzheimers Dement 2019;15:17–24. https://doi.org/10.1016/j.jalz.2018.06.3063external icon PMID:30243772external icon
  6. Mayeda ER, Glymour MM, Quesenberry CP, Whitmer RA. Inequalities in dementia incidence between six racial and ethnic groups over 14 years. Alzheimers Dement 2016;12:216–24. https://doi.org/10.1016/j.jalz.2015.12.007external icon PMID:26874595external icon
  7. Olivari BS, Jeffers EM, Tang KW, McGuire LC. Improving brain health for populations disproportionately affected by Alzheimer’s disease and related dementias. Clin Gerontol 2022;1–5. https://doi.org/10.1080/07317115.2022.2043977external icon PMID:35235500external icon
  8. Alzheimer’s Association; CDC. Healthy Brain Initiative: state and local public health partnerships to address dementia: the 2018–2023 road map. Chicago, IL: Alzheimer’s Association; 2018. http://www.cy118119.com/aging/pdf/2018-2023-Road-Map-508.pdfpdf icon
  9. Olivari BS, Baumgart M, Taylor CA, McGuire LC. Population measures of subjective cognitive decline: a means of advancing public health policy to address cognitive health. Alzheimers Dement (N Y) 2021;7:e12142. https://doi.org/10.1002/trc2.12142external icon PMID:33681450external icon
  10. Ortman JM, Velkoff VA, Hogan H. An aging nation: the older population in the United States. Washington, DC: US Department of Commerce, US Census Bureau; 2014. https://www.census.gov/content/dam/Census/library/publications/2014/demo/p25-1140.pdfpdf iconexternal icon
TABLE 1. Prevalence of selected modifiable risk factors* among adults aged ≥45 years, by selected characteristics and subjective cognitive decline status — Behavioral Risk Factor Surveillance System, United States,§ 2019Return to your place in the text
Characteristic Sample Prevalence of risk factors, % (95% CI)
No. (%) High blood pressure Not meeting aerobic physical activity guideline Obesity Diabetes Depression Current cigarette smoking Hearing loss Binge drinking
Overall 140,076 49.9 (49.4–50.4) 49.7 (49.2–50.3) 35.3 (34.8–35.8) 18.6 (18.2–19.0) 18.0 (17.6–18.4) 14.9 (14.6–15.3) 10.5 (10.2–10.8) 10.3 (9.9–10.6)
Age group, yrs
45–54** 27,500 (28.3) 36.3 (35.3–37.4) 52.7 (51.6–53.9) 39.0 (37.9–40.1) 12.5 (11.7–13.2) 19.9 (19.1–20.8) 18.6 (17.8–19.5) 4.8 (4.4–5.3) 16.2 (15.4–17.0)
55–64 39,421 (30.9) 47.8 (46.8–48.8)†† 50.3 (49.3–51.4)†† 37.9 (37.0–38.9) 17.9 (17.1–18.6)†† 20.7 (19.9–21.4)†† 18.8 (18.0–19.5) 7.9 (7.3–8.5)†† 11.9 (11.2–12.6)††
65–74 42,016 (24.2) 59.0 (58.0–59.9)†† 46.2 (45.2–47.1)†† 34.9 (34.0–35.8)†† 23.8 (22.9–24.6)†† 17.2 (16.5–17.9)†† 12.3 (11.7–13.0)†† 12.7 (12.1–13.4)†† 6.6 (6.0–7.1)††
>75 31,139 (16.6) 63.7 (62.6–64.8)†† 48.6 (47.5–50.0)†† 24.7 (23.7–25.6)†† 23.0 (22.0–23.9)†† 11.2 (10.5–11.9)†† 5.4 (4.9–5.9)†† 22.0 (21.1–22.9)†† 2.7 (2.3–3.1)††
Sex
Men** 60,436 (46.6) 52.5 (51.7–53.3) 46.9 (46.1–47.7) 35.6 (34.8–36.3) 20.1 (19.5–20.7) 12.9 (12.4–13.5) 15.9 (15.3–16.5) 13.3 (12.8–13.9) 14.0 (13.4–14.6)
Women 79,640 (53.4) 47.6 (46.9–48.3)†† 52.2 (51.5–52.9)†† 35.0 (34.3–35.7) 17.3 (16.8–17.8)†† 22.5 (21.9–23.1)†† 14.1 (13.6–14.6)†† 8.1 (7.7–8.4)†† 7.1 (6.7–7.4)††
Sexual and gender minority status
Non-LGBT** 87,585 (96.1) 50.2 (49.5–50.8) 48.5 (47.8–49.2) 35.0 (34.3–35.6) 18.5 (18.0–19.0) 17.6 (17.1–18.1) 14.7 (14.2–15.2) 10.2 (9.8–10.6) 10.4 (9.9–10.8)
LGBT 3,226 (3.9) 49.2 (45.6–52.7) 53.9 (50.3–57.5)†† 33.7 (30.4–37.0) 20.5 (17.9–23.0) 25.4 (22.4–28.5)†† 18.1 (15.5–20.7)†† 10.1 (8.5–11.7) 13.4 (10.9–15.9††
Race/Ethnicity
American Indian or Alaska Native, non-Hispanic 2,059 (1.2) 54.1 (48.7–59.5)†† 59.8 (55.1–64.6)†† 39.4 (34.4–44.4) 24.7 (20.7–28.7)†† 22.9 (18.0–27.8) 26.5 (21.8–31.1)†† 17.5 (12.9–22.1)†† 9.6 (6.8–12.4)
Asian or Pacific Islander, non-Hispanic 923 (2.0) 35.8 (29.8–41.8)†† 45.6 (39.2–52.0) 13.6 (9.8–17.5)†† 19.0 (14.1–23.9) 7.2 (3.2–11.2)†† 5.4 (3.0–7.9)†† 4.4 (2.0–6.8)†† 5.0 (2.4–7.6)††
Black, non-Hispanic 11,947 (12.4) 64.7 (63.0–66.4)†† 57.8 (56.1–59.6)†† 45.0 (43.2–46.7)†† 27.2 (25.7–28.7)†† 15.7 (14.4–17.0)†† 17.5 (16.1–18.8)†† 6.4 (5.6–7.1)†† 8.2 (7.3–9.1)††
Hispanic 5,927 (9.1) 44.3 (41.5–47.0)†† 58.6 (55.7–61.4)†† 37.3 (34.5–40.1)†† 23.3 (21.1–25.6)†† 15.9 (14.0–17.9)†† 13.1 (11.2–15.0) 8.6 (6.9–10.3)†† 11.6 (9.5–13.8)
White, non-Hispanic** 113,697 (73.8) 48.5 (48.0–49.0) 47.2 (46.6–47.7) 33.9 (33.4–34.4) 16.5 (16.1–16.8) 18.9 (18.4–19.3) 14.7 (14.4–15.1) 11.3 (11.0–11.7) 10.7 (10.3–11.0)
Multiple races, non-Hispanic 1,848 (1.0) 52.3 (48.3–56.2) 50.5 (46.4–54.6) 39.3 (35.4–43.2)†† 22.5 (19.3–25.8)†† 23.9 (20.8–26.9)†† 25.1 (21.6–28.5)†† 13.5 (10.9–16.2) 11.6 (8.6–14.6)
Other race, non-Hispanic§§ 920 (0.6) 46.5 (40.7–52.3) 52.6 (46.4–58.7) 34.7 (28.8–40.5) 20.1 (15.2–25.1) 20.1 (15.1–25.1) 15.2 (11.0–19.3) 12.5 (9.1–15.9) 9.8 (6.4–13.1)
Education level
Not a high school graduate**¶¶ 10,172 (12.7) 58.1 (56.1–60.1) 67.1 (65.1–69.0) 37.0 (35.1–38.9) 26.9 (25.1–28.6) 23.3 (21.7–25.0) 25.9 (24.3–27.6) 15.4 (14.0–16.8) 9.8 (8.4–11.3)
High school graduate 38,766 (28.8) 54.4 (53.4–55.4)†† 56.6 (55.6–57.6)†† 38.4 (37.4–39.3) 20.5 (19.8–21.3)†† 18.0 (17.3–18.8)†† 19.0 (18.3–19.8)†† 12.2 (11.6–12.8)†† 10.5 (9.9–11.1)
Some college or more 90,690 (58.5) 46.0 (45.4–46.6)†† 42.5 (41.9–43.2)†† 33.4 (32.8–34.0)†† 15.9 (15.5–16.4)†† 16.9 (16.5–17.4)†† 10.6 (10.2–11.0)†† 8.7 (8.4–9.0)†† 10.3 (9.9–10.7)
Employment status
Employed**,*** 55,023 (45.1) 39.1 (38.3–39.9) 47.6 (46.7–48.4) 35.9 (35.1–36.7) 11.9 (11.4–12.4) 12.7 (12.2–13.2) 13.6 (13.1–14.2) 5.7 (5.3–6.0) 14.7 (14.1–15.3)
Unemployed 3,987 (3.8) 49.0 (45.5–52.5)†† 52.2 (48.5–55.9)†† 36.3 (33.1–39.5) 18.2 (16.0–20.5)†† 29.5(26.6–32.5)†† 28.6 (25.6–31.6)†† 9.5 (6.4–12.5)†† 15.4 (11.9–19.0)
Retired 61,309 (35.7) 60.3 (59.5–61.1)†† 44.5 (43.7–45.3)†† 31.9 (31.2–32.7)†† 22.8 (22.1–23.5)†† 14.9 (14.3–15.4)†† 10.5 (10.0–11.0)†† 15.7 (15.1–16.2)†† 5.9 (5.5–6.3)††
Unable to work 12,686 (10.5) 64.8 (63.1–66.4)†† 74.9 (73.4–76.3)†† 46.0 (44.3–47.8)†† 34.6 (33.0–36.3)†† 48.0 (46.3–49.7)†† 32.9 (31.3–34.5)†† 16.2 (15.0–17.3)†† 7.2 (6.4–8.0)††
Other††† 6,251 (4.9) 43.4 (40.9–45.9)†† 51.1 (48.4–53.7)†† 30.7 (28.3–33.0)†† 15.8 (13.9–17.6)†† 18.3 (16.3–20.2)†† 11.1 (9.4–12.7)†† 6.5 (5.5–7.5) 4.6 (3.8–5.5)††
Has a primary care provider
Yes** 125,402 (88.5) 52.3 (51.7–52.8) 49.1 (48.5–49.6) 36.0 (35.5–36.6) 19.9 (19.4–20.3) 18.5 (18.1–19.0) 13.6 (13.3–14.0) 10.7 (10.4–11.1) 9.6 (9.3–10.0)
No 14,155 (11.5) 31.9 (30.2–33.5)†† 54.5 (52.6–56.3)†† 29.4 (27.8–31.0)†† 9.0 (8.0–9.9)†† 14.3 (13.2–15.5)†† 24.8 (23.4–26.3)†† 8.7 (7.5–9.9)†† 15.4 (14.0–16.8)††
SCD
Yes 15,608 (11.3) 60.9 (59.4–62.4)†† 63.5 (62.0–64.9)†† 39.2 (37.7–40.7)†† 28.7 (27.3–30.2)†† 45.6 (44.1–47.2)†† 24.4 (23.0–25.8)†† 23.1 (21.9–24.3)†† 10.3 (9.4–11.4)
No** 124,468 (88.7) 48.5 (47.9–49.1) 48.0 (47.4–48.5) 34.8 (34.2–35.3) 17.3 (16.9–17.8) 14.5 (14.2–14.9) 13.8 (13.4–14.1) 8.9 (8.6–9.2) 10.3 (9.9–10.7)

Abbreviations: LGBT = lesbian, gay, bisexual, or transgender; SCD = subjective cognitive decline.
* Behavioral Risk Factor Surveillance System survey questions and calculated variables for 2019 are available at http://www.cy118119.com/brfss/questionnaires/pdf-ques/2019-BRFSS-Questionnaire-508.pdfpdf icon and http://www.cy118119.com/brfss/annual_data/2019/pdf/2019-calculated-variables-version4-508.pdfpdf icon, respectively. Not meeting the aerobic physical activity guideline was defined as answering “no” to question C11.01 or reporting <150 minutes per week of moderate-intensity aerobic activity, or <75 minutes per week of vigorous-intensity aerobic activity, or an equivalent combination of the two based on questions C11.02–C11.07 consistent with the Physical Activity Guidelines for Americans, 2nd edition (https://health.gov/our-work/nutrition-physical-activity/physical-activity-guidelines/current-guidelinesexternal icon). Obesity was defined as having a calculated body mass index of ≥30 kg/m2 based on self-reported height and weight from questions C08.17 and C08.18. High blood pressure, diabetes, depression, and hearing loss were defined as answering “yes” to questions C04.01 (excluding pregnancy-related high blood pressure), C06.11 (excluding pregnancy-related diabetes), C06.09, and C08.20, respectively. Binge drinking was defined as reporting having had one or more alcoholic beverages in the previous 30 days and responding “one or more” when asked how many times during the past 30 days they had had X [X = 5 for men and X = 4 for women] or more drinks on an occasion (questions C10.01 and C10.03, respectively). Current cigarette smoking was defined as reporting having smoked ≥100 cigarettes in their lifetime and now smoking every day or some days in response to questions C09.01 and C09.02, respectively.
SCD was defined as the self-reported experience of worsening confusion or memory loss in the previous year.
§ The following U.S. jurisdictions administered the SCD module in 2019: Alabama, Connecticut, District of Columbia, Florida, Georgia, Indiana, Iowa, Kansas, Louisiana, Maryland, Michigan, Minnesota, Mississippi, Missouri, Nebraska, Nevada, New Mexico, New York, North Dakota, Ohio, Oklahoma, Oregon, Pennsylvania, Rhode Island, South Carolina, South Dakota, Tennessee, Texas, Utah, Virginia, West Virginia, and Wisconsin.
Number of respondents for some characteristics might not sum to overall total because of missing information; column percentages might not sum to 100% because of rounding. Reported totals are unweighted.
** Indicates the referent group used for t-tests to determine significant differences between levels of each characteristic for the prevalence of risk factors (p<0.05).
†† Indicates significant difference (p<0.05) based on t-tests in the prevalence of risk factors between the indicated level of each characteristic and the referent group.
§§ “Other race, non-Hispanic” includes respondents who reported they are of some other race group not listed in the survey question responses and are not of Hispanic origin.
¶¶ Includes general educational development certificate.
*** Includes self-employed persons.
††† Includes students and homemakers.

Return to your place in the textFIGURE. Proportion of adults aged ≥45 years with total number of risk factors,* by subjective cognitive decline status — Behavioral Risk Factor Surveillance System, United States,§ 2019
The figure is a bar chart indicating the proportion of adults aged ≥45 years with total number of risk factors, by subjective cognitive decline status, in the United States in 2019, according to the Behavioral Risk Factor Surveillance System.

Abbreviation: SCD = subjective cognitive decline.

* Total number of risk factors was defined as the sum of any of the following risk factors reported by the respondent: high blood pressure, not meeting the aerobic physical activity guideline, obesity, diabetes, depression, current cigarette smoking, hearing loss, or binge drinking.

SCD was defined as the self-reported experience of worsening confusion or memory loss in the previous year.

§ The following U.S. jurisdictions administered the SCD module in 2019: Alabama, Connecticut, District of Columbia, Florida, Georgia, Indiana, Iowa, Kansas, Louisiana, Maryland, Michigan, Minnesota, Mississippi, Missouri, Nebraska, Nevada, New Mexico, New York, North Dakota, Ohio, Oklahoma, Oregon, Pennsylvania, Rhode Island, South Carolina, South Dakota, Tennessee, Texas, Utah, Virginia, West Virginia, and Wisconsin.

TABLE 2. Prevalence of subjective cognitive decline* among adults aged ≥45 years, by risk factor status and total number of risk factors§ — Behavioral Risk Factor Surveillance System, United States, 2019Return to your place in the text
Risk factor % (95% CI) p-value **
Overall 11.3 (11.0–11.6) NA
High blood pressure
No 8.8 (8.4–9.3) Ref
Yes 13.8 (13.3–14.3) <0.001
Not meeting aerobic physical activity guideline
No 8.3 (7.9–8.7) Ref
Yes 14.5 (14.0–15.1) <0.001
Obesity
No 10.8 (10.3–11.2) Ref
Yes 12.7 (12.1–13.3) <0.001
Diabetes
No 9.9 (9.6–10.2) Ref
Yes 17.4 (16.5–18.4) <0.001
Depression
No 7.5 (7.2–7.8) Ref
Yes 28.5 (27.4–29.6) <0.001
Current cigarette smoking
No 10.1 (9.7–10.4) Ref
Yes 18.4 (17.3–19.6) <0.001
Hearing loss
No 9.7 (9.4–10.0) Ref
Yes 24.7 (23.5–26.0) <0.001
Binge drinking
No 11.2 (10.9–11.6) Ref
Yes 11.3 (10.2–12.4) 0.9
Total no. of risk factors§
None 3.9 (3.4–4.4) Ref
One 6.2 (5.8–6.7) <0.001
Two 9.6 (9.0–10.2) <0.001
Three 15.0 (14.2–15.9) <0.001
Four or more 25.0 (23.9–26.2) <0.001

Abbreviations: NA = not applicable; Ref = referent group; SCD = subjective cognitive decline.
* SCD was defined as the self-reported experience of worsening confusion or memory loss in the previous year.
Behavioral Risk Factor Surveillance System survey questions and calculated variables for 2019 are available at http://www.cy118119.com/brfss/questionnaires/pdf-ques/2019-BRFSS-Questionnaire-508.pdfpdf icon and http://www.cy118119.com/brfss/annual_data/2019/pdf/2019-calculated-variables-version4-508.pdfpdf icon, respectively. Not meeting the aerobic physical activity guideline was defined as answering “no” to question C11.01 or reporting <150 minutes per week of moderate-intensity aerobic activity, or <75 minutes per week of vigorous-intensity aerobic activity, or an equivalent combination of the two based on questions C11.02–C11.07 consistent with the Physical Activity Guidelines for Americans, 2nd edition (https://health.gov/our-work/nutrition-physical-activity/physical-activity-guidelines/current-guidelinesexternal icon). Obesity was defined as having a calculated body mass index of ≥30 kg/m2 based on self-reported height and weight from questions C08.17 and C08.18. High blood pressure, diabetes, depression, and hearing loss were defined as answering “yes” to questions C04.01 (excluding pregnancy-related high blood pressure), C06.11 (excluding pregnancy-related diabetes), C06.09, and C08.20, respectively. Binge drinking was defined as reporting having had one or more alcoholic beverages in the previous 30 days and responding “one or more” when asked how many times during the past 30 days they had had X [X = 5 for men and X = 4 for women] or more drinks on an occasion (questions C10.01 and C10.03, respectively). Current cigarette smoking was defined as reporting having smoked ≥100 cigarettes in their lifetime and now smoking every day or some days in response to questions C09.01 and C09.02, respectively.
§ Total number of risk factors was defined as the sum of any of the following risk factors reported by the respondent: high blood pressure, not meeting the aerobic physical activity guideline, obesity, diabetes, depression, current cigarette smoking, hearing loss, or binge drinking.
The following U.S. jurisdictions administered the SCD module in 2019: Alabama, Connecticut, District of Columbia, Florida, Georgia, Indiana, Iowa, Kansas, Louisiana, Maryland, Michigan, Minnesota, Mississippi, Missouri, Nebraska, Nevada, New Mexico, New York, North Dakota, Ohio, Oklahoma, Oregon, Pennsylvania, Rhode Island, South Carolina, South Dakota, Tennessee, Texas, Utah, Virginia, West Virginia, and Wisconsin.
** p-value using t-tests for comparisons of prevalence of SCD between the following groups: 1) adults with versus without each risk factor and 2) adults with no risk factors versus one, two, three, or four or more risk factors.


Suggested citation for this article: Omura JD, McGuire LC, Patel R, et al. Modifiable Risk Factors for Alzheimer Disease and Related Dementias Among Adults Aged ≥45 Years — United States, 2019. MMWR Morb Mortal Wkly Rep 2022;71:680–685. DOI: http://dx.doi.org/10.15585/mmwr.mm7120a2external icon.

MMWR and Morbidity and Mortality Weekly Report are service marks of the U.S. Department of Health and Human Services.
Use of trade names and commercial sources is for identification only and does not imply endorsement by the U.S. Department of Health and Human Services.
References to non-CDC sites on the Internet are provided as a service to MMWR readers and do not constitute or imply endorsement of these organizations or their programs by CDC or the U.S. Department of Health and Human Services. CDC is not responsible for the content of pages found at these sites. URL addresses listed in MMWR were current as of the date of publication.

All HTML versions of MMWR articles are generated from final proofs through an automated process. This conversion might result in character translation or format errors in the HTML version. Users are referred to the electronic PDF version (http://www.cy118119.com/mmwr) and/or the original MMWR paper copy for printable versions of official text, figures, and tables.

Questions or messages regarding errors in formatting should be addressed to mmwrq@cdc.gov.

View Page In:pdf icon PDF [162K]
Page last reviewed: May 25, 2022